In this post, I’ll continue discussing problems I’ve been encountering in the calculus textbook I’m reading. Some problems are involved enough to require an entire post devoted to them; others are interesting but relatively short. Today, I’ll discuss four shorter problems.
The first problem is Exercise 26 on page 33:
If a cylindrical hole be drilled through a solid sphere, the axis of the cylinder passing through the center of the sphere, show that the volume of the portion of the sphere left is equal to the volume of a sphere whose diameter is the length of the hole.
This is not a difficult problem to solve; I’ll leave the simple integral to the reader. This has always been a favorite volume problem of mine, and this is the earliest reference I’ve seen to it.
Perhaps it was a classic even back then — remember, the book was published in 1954. The author usually attributes problems he uses to their sources, but this problem has no attribution. I would be interested to know if anyone knows of an earlier reference to this problem.
The second problem is not from an exercise, but is discussed in Art. 37 on page 48. It’s one of those “of course!” moments, leaving you to wonder why you never thought to try it yourself….
Why is the antiderivative of the natural logarithm? There are a few different ways this is usually shown, but here’s one I haven’t seen before: consider the limit
It seems so obvious when you see it written down, but I’ve never thought to take this limit before. You get
Now apply L’Hopital’s rule! And there you have it:
I think that perhaps when writing I’m so conditioned to thinking of
as a constant that I never thought of turning it into the variable. It’s a nice proof.
Next is Art. 68, which begins on page 82. Again, you’ll agree that it seems pretty obvious after the discussion, but I’ve never seen this diagram drawn before. This is likely because hyperbolic trigonometry is downplayed in today’s calculus curriculum. You might recall the comment I made about a colleague once saying they didn’t teach hyperbolic trigonometry since it wasn’t on the AP exam.

So let’s look at the hyperbola The goal of this exercise is to find a geometrical interpretation of the relationship
which is key to connecting circular and hyperbolic trigonometry by means of the gudermannian, as I have discussed earlier.
Draw the auxiliary circle and consider the point
Now drop a perpendicular from on the x-axis to the point
Next, draw a tangent from
to the auxiliary circle, meeting it at
Finally, join
to the origin.
Since is tangent to the circle, we know that
is a right triangle. Therefore
But by construction,
and so
Yep, that’s all there is to it! A geometrical illustration of the gudermannian function. So very simple. And incidentally, the author goes on to discuss the gudermannian function in the next section.
For the last example, I’ll need to skip ahead a little bit, since my next exploration is a bit too involved and may need an entire post. As a teaser, I’ll just say that I learned a completely new way to derive Cardan’s formula for solving a cubic equation! It involves calculus and quite a bit of algebra. At some point, I’d like to dive in a little deeper and see if I can relate this new proof with the usual one — but again, that for another time.
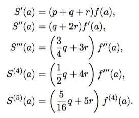
So this last example (Art. 96 on page 109) is about differentiating
Of course this is just a simple application of the product rule:
But why stop here? We can go further, using an idea very common when working with physics applications. We seek to write
Since
this amounts to solving
This is straightforward:
Thus,
This means that taking the derivative of amounts to multiplying the function by
and increasing the angle in the sine function by
Therefore
I actually did the proof by induction to verify this. It’s pretty cumbersome.
Note that this also implies that
The same results hold with sine being replaced by cosine. Such elegant results.
I hope you found these problems as interesting as I did! There are so many calculus gems in this book. I’ll continue to keep sharing….




